|

《机器学习》(订购)
江波 著
教育科学出版社
机器学习作为人工智能的核心,通过模拟人类学习,让计算机拥有了“智能”。
一般来说,我们在学习一项新的知识或技能时,先是根据学习材料在一定的监督指导下进行训练。在训练完成之后,我们会在新的测试问题上进行测试,以检验训练效果。如果测试效果理想,则表明训练效果好,那么我们就可以将习得的知识应用在实践中。反之,我们则需要调整训练策略,进行新一轮的训练和测试,直到达到预期效果。
机器学习中的有监督机器学习就是模拟人类学习的训练、测试和应用三个环节来实现的。
虽然机器和人类的学习方式基本相似,但是机器尚不能像人类一样进行推理。人类除了积累经验外,还可以基于经验进行逻辑推理,而机器仍处在“就事论事”的阶段,尚未达到“举一反三”。
例如,假如我们希望机器识别杯子,将大量马克杯照片和少数运动水杯照片输入机器。机器可以基于这些数据构建分类算法,准确地将马克杯归类为杯子。但是,当机器遇到运动水杯的照片时,它无法判断这也属于杯子。这是因为当前的大部分机器学习算法不具备基本的推理能力。
机器获取知识不需要人类的那种思考。也就是说,人类问为什么,但机器看相关性。这是机器从经验中学习的速度远高于人类的原因,也是目前的机器学习并没有超过人类智能水平的原因——基于“为什么”的反思,才能实现逻辑推理。或许机器学习智能的更进一步成果,还是要建立在神经网络上:我们需要知道大脑的神经网络到底是如何连接的,才能实现一次反思和总结。
机器学习作为一种实现人工智能的技术手段,无法代替教育本身。但是,机器学习能够帮助我们解决教育领域的很多问题,已悄然掀起了一场教育领域的技术变革。
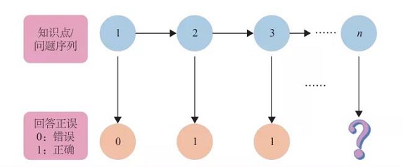
通过使用机器学习,我们可以对学生的学习过程进行“知识追踪”,判断他们是否已经掌握了某个知识点,进而为他们进行个性化的资源推荐。

▲知识追踪模型
在追踪的过程中,还可以使用“学习曲线”来判断学生的学习效果是不是越来越好,从而调整教学策略,为他们制定个性化的教学方案。

▲学习曲线示意图
不仅如此,还可以通过“情绪识别”技术,识别学生的学习情绪(无聊、困惑等);通过聚类算法,对学生进行“分类组合”,提供针对性的教师干预和同伴互助。

▲学习者聚类分组结果示例
除此之外,还有很多“人工智能+教育”的研究成果。这些研究的应用,在一定程度上破除了传统教育的弊端,也让我们看到了未来教育的趋势。相信在未来,机器学习在教育领域的应用型研究会越来越深入。
本文摘选自《机器学习》,作者为华东师范大学教育学部江波副教授。标题为编辑所取。
来源:教育科学出版社
|