账号: 密码:
中国大学出版社协会 | 首页 | 宏观指导 | 出版社天地 | 图书代办站 | 教材图书信息 | 教材图书评论 | 在线订购 | 教材征订
搜索 新闻 图书 ISBN 作者 音像 出版社 代办站 教材征订
购书 请登录 免费注册 客服电话:010-62510665 62510769
南京大学出版社2021年度江苏省高等学校重点教材立项入选数量居全国出版社第一 - 出版动态 - 中国高校教材图书网
主页 > 出版动态
南京大学出版社2021年度江苏省高等学校重点教材立项入选数量居全国出版社第一
2021-11-09 09:50:48  来源:南京大学出版社 
 

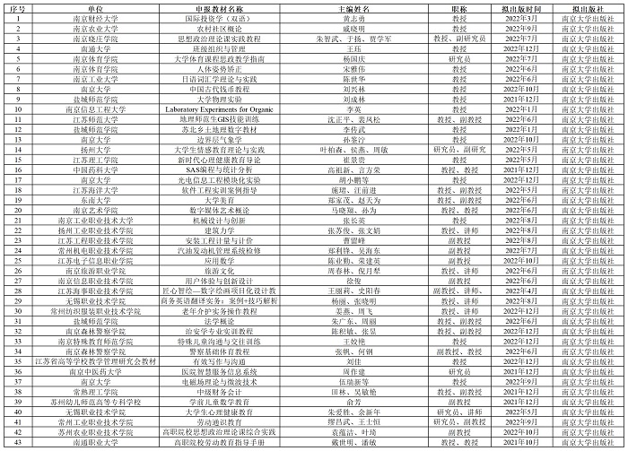
  2021年11月1日,江苏省高教学会公布了2021年度江苏省高等学校重点教材立项建设名单,南京大学出版社共入选55种(其中修订12种,新编43种),位居榜首,并实现了入选数量连续三年位列全国出版社第一。
  
  南京大学出版社近年来夯实内功,积极拓展优质高校资源,不断提高高校教材质量,并为高等教育的改革创新努力做好出版服务。

南京大学出版社入选2021年度江苏省高等学校重点教材立项建设名单

来源:南京大学出版社

本版责编:江蕾
 
 
相关评论 发表评论 发送新闻 打印新闻 上一条 下一条 关闭
| 我的帐户 | 我的订单 | 购书指南| 关于我们 | 联系我们 | 敬告 | 友情链接 | 广告服务 |

版权所有 © 2000-2002 中国高校教材图书网    京ICP备10054422号-7    京公网安备110108002480号    出版物经营许可证:新出发京批字第版0234号
经营许可证编号:京ICP证130369号    技术支持:云章科技